



تخيل ما يمكن أن تحقق بمليون دولار يهبط عليك! ففي خبر يشكل تحدياً، عرض معهد كلاي للرياضيات في كامبريدج، ماساتشوستس، جائزة قدرها مليون دولار لمن يتمكن من حل مسألة رياضية شهيرة، حيرت علماء الرياضيات لأكثر من قرن. وتعتبر فرضية ريمان، التي اقترحها لأول مرة عالم الرياضيات الألماني برنارد ريمان عام 1859، واحدة من أصعب وأهم المسائل التي لم يتم حلها.
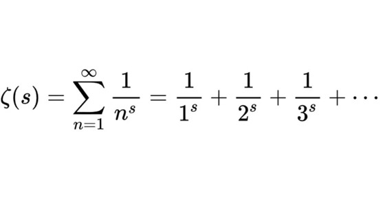
في التفاصيل تعتمد الفرضية على دالة زيتا لريمان، المنسوبة إلى برنارد ريمان، وتنص على أن "الجزء الحقيقي من كل صفر غير بديهي في دالة زيتا لريمان هو 1/2".

"نعم" أو "لا"
أما الإجابة عن فرضية ريمان هي ببساطة "نعم" أو "لا". إلا أن هناك العديد من الطرق الافتراضية للوصول إلى الحل وكلها صعبة للغاية. فإذا كانت الإجابة نعم، سيكون لذلك آثار كبيرة على نظرية الأعداد والتشفير ودراسة الأعداد الأولية. وهناك الكثير من الأدلة الجيدة التي تدفع علماء الرياضيات للاعتقاد بأن فرضية ريمان صحيحة، غير أنها لا تزال بحاجة إلى إثبات.

ما أهمية فرضية ريمان؟
إذا كانت صحيحة، فستوفر رؤى رائدة حول طريقة عمل الأعداد الأولية. فقد أوضح عالم الرياضيات مات باركر عام 2010 أن الخبراء "مهووسون بالأعداد الأولية لأنها أساس جميع الأعداد الأخرى". كما أضاف أن الأعداد الأولية في الرياضيات تشبه الذرات في الكيمياء، والطوب في صناعة البناء، مردفاً أنه "يتم بناء كل شيء من هذه الوحدات الأساسية، ويمكنك التحقق من سلامة شيء ما من خلال إلقاء نظرة فاحصة على الوحدات التي تم تصنيعه منها".

"ستكون كارثة"
لكن ماذا لو لم تكن الفرضية صحيحة؟ في هذا السياق قال عالم الرياضيات الجنوب إفريقي، بيتر سارناك، إنه "إذا لم تكن (فرضية ريمان) صحيحة، فإن العالم سيكون مكاناً مختلفاً تماماً". كما أوضح: "بطريقة ما، سيكون الأمر أكثر إثارة للاهتمام إذا كانت خاطئة، لكنها ستكون كارثة لأن بنينا الكثير حول افتراض حقيقتها".



